2016年第3期參考答案: 質感涂料
2016年第3期參考答案: 質感涂料
以下為《歐洲涂料雜志》第3期配方培訓中質感涂料的參考答案。
基本配方
按照規定的順序添加原材料:
聚酯多元醇(60%,二甲苯溶液), 44.0%
膨潤土漿料(10%),3.0%
邊攪拌邊加入以下物質,并在最高 50 °C下,在分散罐(轉速:23 m/s)預分散15 min。
氧化鐵黃,8.5%
氧化鐵紅,1.3%
二氧化鈦,4.2%
細滑石粉,6.0%
采用Perl研磨機分散20 min,溫升不超過 50 °C。
添加以下物質,并不斷攪拌:
聚酯多元醇(60%,二甲苯溶液), 15.0%
增稠劑,0.6%
聚硅氧烷,0.5%
DBTL溶液,0.2%
乙氧基丙基醋酸酯,7.5%
調節黏度:
乙氧基丙基醋酸酯,9.2%
固化劑:
脂肪族多異氰酸酯,NCO值能使A組分與固化劑比率為6:1時達到110%的交聯(NCO:OH)。
參考答案 – 主要問題
問題1:開裂和起皺
在質感涂料中,以受控的方式利用 “涂裝缺陷”形成質感效果,特殊效果形成的原因如下:
起皺: 表面干燥速度比底層漆干燥速度快。在底層漆干燥時就會引起表面涂層收縮。由于已經干燥的表層只有通過形成皺紋才能抵消收縮的影響。起皺可能還有其他原因。
a. 氧化固化涂料中要使用催干料(如鈷干料)配制,采用的干料要能實現快速完成表面的交聯過程。
b.含有快揮發溶劑的涂料,其表面會快速干燥。
裂紋: 如果底層漆彈性高于上層漆,由于面漆無法抵消底層漆的移動,就會造成開裂。在實際中,可在長油度的底漆(高基料比例)上涂短油度的面漆(低基料比例),就可獲得這種效果。
問題2:含OH-官能團聚合物
以下類型的基料作為與聚異氰酸酯交聯的A組分基料:
a. 聚酯多元醇:
+ 良好的顏料潤濕性
+ 良好的附著力
+ 品種多
+ 良好的耐候性
+ 對酸堿較敏感
b. 聚醚多元醇:
+ 高柔韌性
+ 良好的顏料潤濕性
+ 良好的抗低溫性
+ 良好的抗堿性
+ 低黏度
- 極好的親水性
- 對酸敏感
- 易氧化
c. 聚丙烯酸脂多元醇:
+ 極佳的耐化學品性
+ 良好的耐候性
- 顏料潤濕性較差
問題3:用于配制赭色的顏料組合
水合氧化鐵(Fe2 03 *3H2 0)可用于配制赭色涂料。通過加入黃顏料,可配制出各種赭色色調。根據所需要色調,可使用紅色、白色或黑色顏料。
問題4:配制質感涂料的助劑
通常,在質感涂料配制中,可使用各種防沉降劑(如膨潤土)、觸變劑和增稠劑,并且,可采用硅油作為助劑和特效劑。同時,可加入催化劑(如DBTL),來加快交聯過程。酯、酮、乙二醇醚酯和芳香族化合物都可作為溶劑使用。
問題5:涂裝方法和參數
在涂裝具有粗顆粒的質感涂料時,首先應涂一道經稀釋的質感涂料的不透明層:在閃干后,采用相對較大的噴嘴(噴嘴口徑1.6~2.0 mm)在較低噴涂壓力(2~2.5 bar)下噴涂未稀釋的涂料。由于涂料黏度高,可形成質感涂料。通過調整涂料黏度、噴嘴大小和噴涂壓力,就可以改變表面質感的效果。
問題6:表面紋理構造分析
為了表征表面的質感紋理,可采用一臺掃描裝置來測量表面粗糙度。通過該方法,可使用金剛石鑲刃儀器掃描整個表面。新激光法更加準確、快速,而且可在非接觸情況下進行操作。
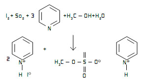
問題7:含水量的測定
一般情況下,按照卡爾·費休法,通過滴定方式來定量測定含水量。所采用的試劑中含有碘(作為氧化劑)、二氧化硫(還原劑)、吡啶(C5 H5 N)(作為堿)和無水甲醇。
只有在有水的情況下,所有組分才會形成一個有效的氧化還原體系:

采用吡啶中和所使用的酸,并保持pH 值。通過目測、電測量、光測量(因吸收而造成光衰減)或電位測量(測量電化學電位)的方法判定滴定終點,并以過量的碘來表示。
問題8:形成紋理過程中的問題及原
因如果涂裝條件(噴涂壓力、噴嘴、材料和室內溫度)都十分理想,那么與紋理形成過程中出現的任何問題都應該來自產品本身,如涂料黏度。估計可能的原因還有:未出現觸變性或假塑性或者涂料涂裝得太薄。
問題9:噴涂過程中的健康和安全措施
在以噴涂的方式涂裝質感涂料時,應采取以下安全預防措施:
> 打開空調裝置的電源;
> 穿上呼吸保護裝置或防塵面具;
> 戴上防護眼鏡,穿好防護衣和安全鞋;
> 空壓機必須安置在噴涂室外,或者采用防爆型空壓機;
> 在搬運空壓機或壓力容器時應采取安全預防措施;
> 在使用固化劑(異氰酸酯)時,應防止接觸皮膚,應戴好手套。
