【環氧涂料】不斷進步,更上一層樓一種新型助劑可同時提高多個關鍵的性能
試驗配方詳細信息
制備了3種混合物(見表1)。助劑的含量各不相同。如有可能,將助劑添加到液態環氧樹脂中。然后,加入溶劑并攪拌3 min。最后,加入固化劑再攪拌3 min。3種配方中使用的溶劑分別是醋酸丁酯、二甲苯和甲乙酮。

表1 試驗配方
胺加成物廣泛用于固化環氧樹脂。這些含胺的加成物與足夠量的環氧樹脂發生反應,以提高胺和環氧樹脂之間的相容性。在下面描述的例子中使用的胺加合物是由4份(質量)的胺(XTA801,亨斯邁公司,見圖1)和1 份環氧樹脂(EPON 828,亨斯邁公司,見圖2)組成。

圖1 “ XTA801”胺組成成分

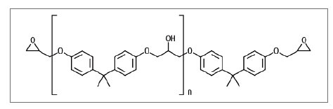
圖2 雙酚A型環氧樹脂;n=0“Epon 828”
胺本身是1,4-雙(氨基甲基)環己烷(60%~100%)、亞氨基-雙(4-氨基甲基-4'-環己基甲基)胺(13%~30%) 和3-氮雜雙環[3.2.2]壬烷(1%~3%)的混合物,如圖1中 A、B、C分別所示。該加成物的配制是將600 g胺加入大玻璃瓶中,緊接著加入150 g環氧樹脂,室溫下攪拌8 h。雖然試驗中使用了這種特制的固化劑,但這并不限制使用其他加成物或固化劑。
通用環氧配方如表1所示。固化劑中胺氫當量 (AHEW)為48.6,而環氧樹脂的環氧當量(EEW)為188。固化劑與環氧樹脂的比率(胺氫當量/環氧當量)為0.8。上文所提到的各種溶劑均適當添加。標準檢測樣板是通過使用刮棒將環氧樹脂混合物涂覆在0.8 mm×76mm×127 mm的冷軋鋼鋼板(R35試驗板底板來自美國 Q-Lab公司)上,然后在23 ℃、相對濕度為50%的環境下固化7 d制得。
往期推薦
-
-
《歐洲涂料雜志》(中文版)2024第3期
專題:顏料和填料 丙烯酸乳膠可持續發展的替代品 市場報告:填料和顏料市場 含納米二氧化鈦的涂料
-
-
《歐洲涂料雜志》(中文版)2024第1/2期
專題:防護涂料 生物基直接替代解決方案 當前研發情況和面臨的主要挑戰 年度調查:2023年回顧和2024年展望
-
-
《歐洲涂料雜志》(中文版)2023第12期
專題:粉末涂料 膠體二氧化硅在鍍鋅鋼水性PUD涂料中的應用 改善乳膠膜質量和涂料性能 具有生態效益的涂料性能
-
-
《歐洲涂料雜志》(中文版)2023第11期
專題:功能涂料 環氧涂料:用于低排放地坪的固化劑 防涂鴉聚氨酯應用的有機硅助劑 市場報告:性能高,銷量大
-
-
《歐洲涂料雜志》(中文版)2023第10期
專題:樹脂和助劑 技術論文:棄用包裝涂料中的聚四氟乙烯組分 鋅片可以作為鋅粉的可持續發展替代品 市場報告:涂料助劑市場逐趨穩定
-
-
《歐洲涂料雜志》(中文版)2023第9期
專題:水性涂料 納米纖維素:有潛力的生物基材料 高性價比的綠色納米纖維素 市場報告:水性涂料的紫外線防護性能
-
-
《歐洲涂料雜志》(中文版)2023第7/8期
專題:生物基涂料 為涂料配方設計師合成一種新型固化劑 將光引發劑接枝到丙烯酸酯上 市場報告:生物基涂料市場正處于拐點
-
-
《歐洲涂料雜志》(中文版)2023第6期
專題:木器涂料 數字化和可持續發展轉型 提高表面耐久性和延長使用壽命 市場報告:工業木器涂料的堅實基礎
